Фотографія тижня. Mars Perseverance Rover

Mars Perseverance Rover (Mar. 21 - Mar. 27, 2021). Обирайте найкращі фотографії самостійно

 

Ця фотографія була відібрана публічним голосуванням і представлена як "Like" для 3-го тижня (21 березня - 27 березня 2021) місії марсохода Perseverance на Марсі.

Голосуйте за посиланням:

https://mars.nasa.gov/mars2020/multimedia/raw-images/ 

Гарного дня!

Бережіть себе і родину.

Інженерний тиждень 2021

Наш STEM-AR клуб "Наука навколо нас" і "Інженерний тиждень 2021"



З 25 січня 2021 стартував другий Інженерний тиждень. В рамках профорієнтаційної роботи на кафедрі фізики кристалів ХНУ імені В.Н. Каразіна клуб "Наука навколо нас" взяв участь у цьому надзвичайно цікавому і корисному заході. Учасники клубу вже другий рік поспіль беруть участь у цьому тижні.

Інженерний тиждень — проєкт для учнів молодших, середніх та старших класів, покликаний зацікавити учнів наукою і дати їм поштовх до розвитку власного інженерного потенціалу. 

Цього разу темою Інженерного тижня було обрано Problem solving.

Учаснику клубу "Наука навколо нас" створили мікроскоп за допомогою збиральної лінзи із лазерної указки. Після цього об'єктами дослідження було усе, що ми мали поряд (від тканин нашого одягу до кристалів солі, цукру тощо).


Познайомилися із альтернативними джерелами енергії і дослідили роботу Сонячної пічки:


 Побудували пневматичний ліфт:

 

Дякуємо організаторам проведення Інженерного тижня!

Рік 2020

Подивившись це відео, ви дізнаєтесь від Олени Шульги, організаторки «Інженерних тижнів», як можна долучитися до програми та в чому її особливість, ведуча – Тетяна Малишева. Завдання до проведення  "Інженерного тижня":
Молодша школа
Середня школа
Старша школа 

Рік 2021

 

Детальніше про роботу клубу: https://educationpakhomova.blogspot.com/p/penguin-club.html

 #томущоцікаво #sciencearoundus #PenguIN

Пишіть: inpakhomova@ukr.net

Бережіть себе і родину!

Дякую за увагу!
Бажаю Вам нових ідей!
Навчаємося, бо ми цього варті!
Підписуйтесь на блог!
Підписуйтесь на канал YouTube.
Підписуйтесь на сторінку у fb. https://www.facebook.com/educationXXII/
Запрошуємо навчатися на фізичному факультеті! 

Приєднуйтесь на сервер "Фізичний факультет ХНУ" на Discord

https://discord.com/invite/ZUxcC22 

Атмосферний тиск

 Що таке атмосферний тиск?

Чи можна зламати дерев'яну лінійку за допомогою повітря?

 

Атмосферний тиск

Атмосферний тиск визначається як сила, що діє на одиницю площі, викликана вагою стовпа повітря атмосфери над цією поверхнею. Розглянемо атмосферний тиск використовуючи мову молекул повітря. Якщо число молекул повітря над поверхнею збільшується, то, відповідно, більше число молекул викликає тиск на цю поверхню і, отже, тиск зростає. Аналогічно, зменшення числа молекул повітря над поверхнею викликає зменшення тиску. 

 Чому закладає вуха при польоті у літаку?

Вуха в літаку закладає через те, що на висоті знижується атмосферний тиск (кількість молекул повітря на висоті менше), а в барабанній порожнині воно має дорівнювати звичайному показнику. Під час польоту виникає різниця тисків, тому барабанна перетинка вдавлюється. Люди ж відчувають цей ефект як закладеність у вусі.

Зазначене явище абсолютно безпечне для людей, адже організм здатний адаптуватися до нових умов, хоч і не так швидко, як цього іноді хотілося б.

Для того, щоб вирівняти тиск у вусі існує спеціальний отвір.

Він відкривається, якщо зробити кілька ковтальних рухів, позіхнути, широко відкрити рот. Таким чином тиск повинен вирівнятись досить швидко, а закладеність зникне.

Питання


Яку масу має один кубічний метр повітря на рівні моря при температурі 0° С?

1 кг 290 г

Яку масу має повітря у спортивному залі розмірами 10•5•4 м•м•м?

Яка маса атмосфери Землі?

Нормальний атмосферний тиск дорівнює приблизно 105 Па, тобто на кожен квадратний метр поверхні Землі тисне сила приблизно 100000 Н. Поверхня Землі

S=4•πR2≈5•1014 м2, де R=6370 км — середній радіус Землі. Тоді сила тиску атмосфери  

Р = 4 πR2• 105Па≈5 • 1019 Н.  

Якщо виразити цю силу тиску в більш звичних для нас одиницях сили — тоннах, то дістанемо близько 5000000000000000 Т. «Невагоме», на перший погляд, повітря, що оточує нашу Землю, має масу m=Р/g ~5 • 1018 кг, або понад 5 квадрильйонів тонн. Проте ця грандіозна маса становить всього близько однієї мільйонної маси всієї Землі.

 

Чи можна зламати дерев'яну лінійку за допомогою повітря?


 
 

Задачі

1. З якою силою тисне атмосфера на поверхню сторінки зошита, розміри якого 16 х 20 см, при атмосферному тиску 100 000 Па?

 


2. Визначте, з якою силою тисне атмосфера на людину (атмосферний тиск вважати нормальним, а площу поверхні тіла такою, що дорівнює 1,5 м2).

 


 Експерименти:




Джерела:

http://prima.franko.lviv.ua/faculty/geology/phis_geo/fourman/E-books-FVV/Interactive%20books/Meteorology/def.htm

https://portfel.info/stuff/gdz_7_klas/fizika_sirotjuk/zavdannja_244/41-1-0-2351

https://fakty.com.ua/ua/lifestyle/zdorove/20190906-vid-chogo-zakladaye-vuha-pid-chas-polotu-v-litaku/

Приєднуйтесь на сервер "Фізика" на Discord: https://discord.com/invite/ZUxcC22 

Telegram: https://t.me/pakhomovaeducation 

 https://t.me/physicsks

Бережіть себе і родину!

Дякую за увагу!
Бажаю Вам нових ідей!
Навчаємося, бо ми цього варті!
Підписуйтесь на блог!
Підписуйтесь на канал YouTube.

Підписуйтесь на сторінку у fb. https://www.facebook.com/educationXXII/
Запрошуємо навчатися на фізичному факультеті ХНУ Василя Каразіна! 

Фізичний факультет ХНУ ім. В.Н. Каразіна

Декан фізичного факультету Руслан Володимирович Вовк


Основний напрямок наукової діяльності Руслана Вовка – проблеми еволюції анізотропних систем квазічастинкових збуджень в квантових рідинах, високотемпературна надпровідність. Він розвинув наукові основи нового напрямку фізики низьких і наднизьких температур –  динаміки підсистем квазічастинкових збуджень в умовах структурної і кінематичної анізотропії. Вперше розробив експериментальну технологію роздільного детектування високо- і низькоенергетичних фононів у квантових рідинах; встановив закономірності генерації «гарячих» h-фононів; запропонував і реалізував метод дослідження процесів взаємодії незалежних фононних пучків при їх зіткненні у надплинному  4Не; відкрив явище генерації «гарячої лінії» при наднизьких температурах. Під керівництвом проф. Р. В. Вовка було захищено 4 кандидатські і 1 докторська дисертації, керує роботою двох аспірантів, консультант однієї докторської дисертації. 

Професор Вовк Р.В. – співавтор трьох монографій, понад 390 наукових робіт, більшість яких опубліковано у рейтингових українських та закордонних наукових виданнях, та 12 патентів.  

Професор Вовк Р.В. працює на викладацькій роботі з 2000 р. За цей час викладав курс фізики, курс медичної і біологічної фізики, а також низку авторських спеціальних курсів: «Основи фізики квантових рідин», «Вступ до надпровідності» і «Кріогенне матеріалознавство». Під його керівництвом було модернізовано спеціальні практикуми з вивчення властивостей твердих тіл при низьких температурах і створено сучасний практикум з курсу «Медична фізика». Був керівником 48 бакалаврських і магістерських робіт, співавтор 12 навчальних та методичних посібників (із них 4 – з грифом МОН).


У своїй науковій роботі постійно співпрацює з науковими колективами таких провідних світових наукових центрів як Імперіал коледж (Лондон, Великобританія), університет м. Ексетер (Великобританія), Інститут ім. Макса Планка (Дрезден, Німеччина), Інститут фізики твердого тіла «Демокрітос» (Афіни, Греція), Інститут Дон Альфонсо ІІІ (Португалія), університет Нью-Брансвік (Канада), з якими має низку спільних публікацій. 


 Вступ 2021

Додаткові бали при вступі до Каразінського 2021

Дуальна освіта на кафедрі фізики кристалів

Презентація кафедри фізики кристалів 2021 

"Фізика і астрономія" у рейтингу за спеціальностями кращих університетів світу 2021 року

 

Приєднуйтесь на сервер "Фізика" на Discord: https://discord.com/invite/ZUxcC22 

Telegram: https://t.me/pakhomovaeducation 

 https://t.me/physicsks

Бережіть себе і родину!

Дякую за увагу!
Бажаю Вам нових ідей!
Навчаємося, бо ми цього варті!
Підписуйтесь на блог!
Підписуйтесь на канал YouTube.

Підписуйтесь на сторінку у fb. https://www.facebook.com/educationXXII/
Запрошуємо навчатися на фізичному факультеті ХНУ Василя Каразіна! 

 

ЗНО Фізика

 Електромагнітна індукція



#ЗНО #фізика


 Вступ 2021

Додаткові бали при вступі до Каразінського 2021

Дуальна освіта на кафедрі фізики кристалів

Презентація кафедри фізики кристалів 2021 

"Фізика і астрономія" у рейтингу за спеціальностями кращих університетів світу 2021 року

 

Приєднуйтесь на сервер "Фізика" на Discord: https://discord.com/invite/ZUxcC22 

Telegram: https://t.me/pakhomovaeducation 

 https://t.me/physicsks

Бережіть себе і родину!

Дякую за увагу!
Бажаю Вам нових ідей!
Навчаємося, бо ми цього варті!
Підписуйтесь на блог!
Підписуйтесь на канал YouTube.

Підписуйтесь на сторінку у fb. https://www.facebook.com/educationXXII/
Запрошуємо навчатися на фізичному факультеті ХНУ Василя Каразіна! 

StarT 2021

 Презентація роботи клубу 

"Наука навколо нас"


Вітаю! 

Проголосуйте за проєкт "Наука навколо нас"!

1. Знайдіть наш проєкт STEM + AR - by STEM-AR club "Наука навколо нас"

2. Подаруйте вподобайку!

Вподобайки рахуються тільки на дошці Padlet. 

Якщо дошка не повністю завантажилась, то можна не чекати і поставити вподобайку, вона буде зарахована.

Перейдіть за покликанням:

Padlet Luma StarT 2021 https://padlet.com/lumakeskus/start_educationalpractices_2021


 

Дякуємо за підтримку!

#StarT2021

Електростатика

 Взаємодія заряджених тіл. Закон Кулона


Електростатика — розділ електрики, який вивчає взаємодію статичних тіл, тобто нерухомих електричних зарядів в електростатичному полі.

Електричний заряд є фундаментальною властивістю елементарних частинок. Електричний заряд буває позитивним та негативним. Взаємодія частинок однойменного заряду призводить до їх відштовхування, різнойменного — до притягання.

 

Electrostatic Charge | Sutori 

Electrostatics

 Електростатика. Закон збереження електричного заряду | Фізика для школярів  та студентів

 


 

 

Закон збереження електричного заряду


Робота при обертальному русі.

Електроскоп

 Science activity detecting electric charge

 28. Закон збереження електричного заряду » Народна Освіта

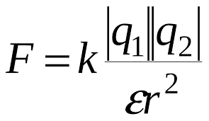
Закон Кулона

Основним законом електростатики є експериментально встановлений закон Шарля Огюста Кулона

 

 

Introduction to Static Electricity | Let's Talk Science

 ЭЛЕКТРИЧЕСКИЙ ЗАРЯД. ЗАКОН КУЛОНА скачать бесплатно на Alllessons.ru

що стверджує «сила взаємодії між двома точковими зарядами прямо пропорційна добутку модулів цих зарядів, та обернено пропорційна квадрату відстані між ними. Остання пропорційність свідчить про те, що сила є далеко діючою.


 

Симуляція: https://phet.colorado.edu/en/simulation/coulombs-law




Задачі.

1. У вершинах правильного трикутника зі стороною a = 10 см, знаходяться
заряди q
1=10 мкКл, q2=20 мкКл і q3=20 мкКл. Визначити силу F, що діє на заряд q1, з
боку двох інших зарядів.



 
 
2. У вершинах квадрата розташовані однакові заряди q. Який заряд q0 треба помістити в центрі квадрата, щоб система перебувала в рівновазі?
 
 
 
 








 Відповідь:
3. Дві однакові маленькі заряджені кульки, що підвішених на нитках однакової довжини, опускають в гас. Яка повинна бути густина матеріалу кульок, щоб кут розбіжності ниток в повітрі і гасі був один і той же?
 

 Відповідь: 
 
Вікторина "Закон Кулона"
 


Бережіть себе і родину!

Дякую за увагу!
Бажаю Вам нових ідей!
Навчаємося, бо ми цього варті!
Підписуйтесь на блог!
Підписуйтесь на канал YouTube.
Підписуйтесь на сторінку у fb. https://www.facebook.com/educationXXII/
Підписуйтесь на сторінку у fb. https://www.facebook.com/educationXXII/
Запрошуємо навчатися на фізичному факультеті! 

 

Приєднуйтесь на сервер "Фізичний факультет ХНУ" на Discord

https://discord.com/invite/ZUxcC22