Закони заломлення світла
Приєднуйтесь на сервер "Фізика" на Discord: https://discord.com/invite/ZUxcC22
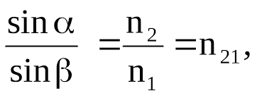
В геометричній оптиці кут падіння — це кут між променем, що падає на поверхню, і прямою, перпендикулярною до поверхні в точці падіння, що називається нормаллю.
60 градусів
Кут, утворений заломленим променем із нормаллю до площини розділу середовищ, називається кутом заломлення.
40 градусів
Відповідь: В.
Бережіть себе і родину!
Дякую за увагу!
Бажаю Вам нових ідей!
Навчаємося, бо ми цього варті!
Підписуйтесь на блог!
Підписуйтесь на канал YouTube.
Підписуйтесь на сторінку у fb. https://www.facebook.com/educationXXII/
Запрошуємо навчатися на фізичному факультеті!
Приєднуйтесь на сервер "Фізичний факультет ХНУ" на Discord:
https://discord.com/invite/ZUxcC22


Немає коментарів:
Дописати коментар