ЗНО Фізика. Рівноприскорений рух.

 


 

 



Приєднуйтесь на сервер "Фізика" на Discord: https://discord.com/invite/ZUxcC22 

Telegram: https://t.me/pakhomovaeducation 
 https://t.me/physicsks

 

Бережіть себе і родину!

Дякую за увагу!
Бажаю Вам нових ідей!
Навчаємося, бо ми цього варті!
Підписуйтесь на блог!
Підписуйтесь на канал YouTube.
Підписуйтесь на сторінку у fb. https://www.facebook.com/educationXXII/
Підписуйтесь на сторінку у fb. https://www.facebook.com/educationXXII/
Запрошуємо навчатися на фізичному факультеті! 

ЗНО фізика

 Робота у термодинаміці


 Відповідь 240 Дж.


Ізобарне розширення = 15 клітин.

15 клітин - 300 Дж

(9+3) клітини - х Дж

 

 

Приєднуйтесь на сервер "Фізика" на Discord: https://discord.com/invite/ZUxcC22 

Telegram: https://t.me/pakhomovaeducation 
 https://t.me/physicsks

 

Бережіть себе і родину!

Дякую за увагу!
Бажаю Вам нових ідей!
Навчаємося, бо ми цього варті!
Підписуйтесь на блог!
Підписуйтесь на канал YouTube.
Підписуйтесь на сторінку у fb. https://www.facebook.com/educationXXII/
Підписуйтесь на сторінку у fb. https://www.facebook.com/educationXXII/
Запрошуємо навчатися на фізичному факультеті! 

Подарунки від фізичного факультету

 "Наука на колесах"

В рамках популяризації науки серед школярів на базі фізичного факультету ХНУ імені В.Н. Каразіна  студентами і викладачами фізичного факультету було започатковано зустрічі у школах України. Наш девіз "Наука не має кордонів!" 


Студенти і викладачі виїжджають у гості до юних науковців і діляться власними здобутками і демонструють яскраві експерименти.

На зустрічах школярі можуть познайомитися із основними напрямками наукових досліджень фізичного факультету ХНУ імені В.Н. Каразіна, познайомитися із викладачами і студентами факультету, задати питання і отримати відповіді а також бути учасником цікавих наукових дослідів.

 

Яку "пісочну анімацію" створюють  стоячі звукові хвилі?


Наочний і красивий спосіб спостереження стоячих хвиль в пластинках придумав в 1787 р німецький фізик Ернст Хладні (1756-1827). На платівку з металу, що закріплена в якій-небудь одній точці, насипається пісок. Стоячі хвилі в пластинці збуджують натертим каніфоллю смичком (фото). Пісок скидається з пучностей і збирається на вузлових лініях, утворюючи так звані фігури Хладні. Вид фігур залежить від форми пластинки і положення закріпленої точки, а також від того, в якому місці проводити смичком і де притримувати при цьому платівку пальцями.

Чи можна троянду "розбити" на безліч уламків?


 

Як часто ви мили руки рідким азотом?

 

Як перейти річку, якщо маєш дерев'яні дошки меншої довжини, ніж ширина річки?


Досліджуємо, експериментуємо, створюємо власні проєкти! Чи круто бути фізиком? Думаю, що так.

Розуміння того, що фізичні явища зустрічаються на кожному кроці, і фізик може дати обґрунтоване пояснення цим "фокусам", робить  фізику важливою наукою.

Кожна IT компанія має певний штат математиків і фізиків, що займаються фундаментальними обчисленнями у проєктах.

Наприклад, викладачі фізичного факультету активно створюють освітній контент із технологіями доповненої реальності.


 

Але багато чого ми не можемо вивезти, тому запрошуємо усіх бажаючих зареєструватись у гугл формі для того, щоб ми могли запросити вас на (усі запропоновані опції - безкоштовні):

  • дні відкритих дверей (фізичні експерименти, мікросвіт у електронному мікроскопі);
  • вебінари, присвячені сучасним науковим дослідженням;
  • безкоштовний дистанційний курс "Підготовка до ЗНО з фізики";
  • екскурсія до астрономічної обсерваторії;
  • екскурсія до музею астрономії;
  • екскурсія до НТК "Інститут монокристалів" НАН України;
  • онлайн-зустрічі із викладачами фізичного факультету;
  • написання робіт МАН (фізика, астрономія);
  • конференції молодих науковців із участю школярів і багато новин.

Відкрийте, будь ласка, гугл форму (https://forms.gle/7uH2wfAWWvwfLKWT6) і зареєструйтесь! Дізнавайтесь першими!

Приєднуйтесь!

Наука була, є і буде! 


Приєднуйтесь на сервер "Фізика" на Discord: https://discord.com/invite/ZUxcC22
Telegram: https://t.me/pakhomovaeducation 

 https://t.me/physicsks

Бережіть себе і родину!

Дякую за увагу!
Бажаю Вам нових ідей!
Навчаємося, бо ми цього варті!
Підписуйтесь на блог!
Підписуйтесь на канал YouTube.
Підписуйтесь на сторінку у fb. https://www.facebook.com/educationXXII/

Запрошуємо навчатися на фізичному факультеті! 

 #Karazin #physics

Шановні однодумці!

 Вітаю усіх небайдужих до проблем освіти!


Приєднуйтесь і запрошуйте своїх друзів, і подруг, колежанок і колег, батьків і учнів!

Буду рада бачити кожного!


Telegram

У telergram існує дві групи:

Перша група присвячена освіті.

Все про освіту (посібники, інтернет ресурси, курси, корисні інструменти, сучасні технології тощо)

https://t.me/pakhomovaeducation 

Друга група присвячена фізиці (книги, ЗНО, завдання, цікава фізика, доповнена реальність на уроках фізики, задачі, тести, фізика в картинках і багато іншого)

 https://t.me/physicsks

 Discord

Перший сервер "ФІЗИКА", що засновано фізичним факультетом ХНУ імені В.Н. Каразіна для учнів, вчителів, батьків 

Приєднуйся до теплої, розумної, амбітної компанії:

"Фізика" на Discord: https://discord.com/invite/ZUxcC22

YouTube канал

Канал присвячено:

Технологіям доповненої реальності в освіті

Перейти за посиланням.

Цікаві експерименти "Наука навколо нас"

Перейти за посиланням

Проєкту "Smart Teacher" розробка інтерактивних вправ для учнів початкової школи

Перейти за посиланням

Дистанційному навчанню

Перейти за посиланням.

Кафедрі фізики кристалів фізичного факультету ХНУ імені В.Н. Каразіна

Перейти за посиланням 

Facebook

На FB створено 3 групи.

Група №1 "Все про освіту" приєднатися за посиланням. 

Група №2 "Доповнена реальність в освіті" приєднатися за посиланням. 

Група №3 "ЗНО ФіЗиКа" приєднатися за посиланням.

Механіка. Динаміка. Задачі.

 8.48. Вантаж, маса якого m, рухається вгору по похилій площині дід дією горизонтальної сили F з прискоренням a. Похила площина утворює з горизонтом кут альфа. Визначте коефіцієнт тертя.

9. 28. Кулька на підвісі коливається у вертикальній площині. Визначте силу натягу нитки в момент, показаний на рисунку, якщо швидкість кульки в цей момент дорівнює 2 м/с. Довжина нитки - 50 см, маса кульки - 200 г, а кут 60 градусів.

Составление уравнения колебания математического маятника 

 

10.20. Через нерухомий блок перекинута мотузка, до одного кінця якої прив'язаний вантаж, маса якого дорівнює 60 кг. На іншому кінці мотузки повисла людина, маса якої 70 кг, яка, вибираючи мотузку, піднімає вантаж, залишаючись при цьому нерухомою відносно землі. Визначте максимальне прискорення вантажу.  

#ЗНО #фізика

Сили в механіці

 


 Сили в механіці — вага, сила пружності, сила тертя, сила тяжіння, сила реакції опори, сила Архімеда та інші зумовлені двома фундаментальними взаємодіями — гравітаційними та електромагнітними.

Сила це векторна фізична величина, яка характеризує механічну дію даного тіла на інше і є мірою цієї взаємодії.
 Сила позначається символом F. Одиниця сили в СІ
ньютон (Н).
 Сила характеризується:
 1) точкою прикладання;
 2) числовим значенням (модулем);
 3) напрямом.

 

 

 

 

Приєднуйтесь на сервер "Фізика" на Discord: https://discord.com/invite/ZUxcC22 

Telegram: https://t.me/pakhomovaeducation 
 https://t.me/physicsks

 

Бережіть себе і родину!

Дякую за увагу!
Бажаю Вам нових ідей!
Навчаємося, бо ми цього варті!
Підписуйтесь на блог!
Підписуйтесь на канал YouTube.
Підписуйтесь на сторінку у fb. https://www.facebook.com/educationXXII/
Підписуйтесь на сторінку у fb. https://www.facebook.com/educationXXII/
Запрошуємо навчатися на фізичному факультеті! 


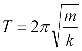
Механічні коливання. Пружинний маятник.

 Пружинний маятник. Період коливань. Задачі + завдання.


Пружинний маятник — це тіло масою m, закріплене на пружині, жорсткість якої k і яке коливається під дією сили пружності 

Відео демонструє, що коливання пружинного маятника дійсно гармонічні і відбуваються за законом синуса або косинуса.



Період вільних коливань пружинного маятника визначається масою коливного тіла та жорсткістю пружини

Період коливань: досліди, формули, задачі
 

Harmonische oscillator - Wikipedia 

Графік зміни потенціальної та кінетичної енергій коливальної системи за один період коливань.

 

Кінетична енергія коливальної системи матиме максимальні значення в моменти проходження тілом положень рівноваги, а потенціальна — у моменти перебування тіла в точках найбільших відхилень від положення рівноваги. У довільний момент часу сума потенціальної і кінетичної енергії є сталою величиною й дорівнює повній енергії коливань.

Питання:

Як зміниться період коливань пружинного маятника, коли замість однієї пружини взяти дві таких самих з'єднаних паралельно і послідовно? 


№1. Амплітуда коливань пружинного маятника 5 см, частота коливань 1 Гц. Який шлях пройде тіло, що коливається, за 10 с? Яким буде переміщення тіла за цей час?


№2. За рис. знайдіть амплітуду, період і частоту коливання. Напишіть рівняння гармонічних коливань пружинного маятника.


№3. Тягар масою 2 кг здійснює горизонтальні коливання на пружині. Амплітуда коливань 5 см, період коливань 5 с. Обчисліть максимальні значення кінетичної та потенціальної енергії, а також швидкість руху тягарця в момент проходження положення рівноваги.



Джерела: Фізика 9 клас Засєкіна (поглиблений рівень)

Приєднуйтесь на сервер "Фізика" на Discord: https://discord.com/invite/ZUxcC22 

Telegram: https://t.me/pakhomovaeducation 
 https://t.me/physicsks

 

Бережіть себе і родину!

Дякую за увагу!
Бажаю Вам нових ідей!
Навчаємося, бо ми цього варті!
Підписуйтесь на блог!
Підписуйтесь на канал YouTube.
Підписуйтесь на сторінку у fb. https://www.facebook.com/educationXXII/
Підписуйтесь на сторінку у fb. https://www.facebook.com/educationXXII/
Запрошуємо навчатися на фізичному факультеті! 

Захист магістерських робіт 2020

 Магістерські кваліфікаційні роботи кафедри фізики кристалів 2020

Студенти кафедри фізики кристалів представили до захисту магістерські дипломні роботи.



 

Анастасія Орлова


 

Влад Пустовар






 


Роман Михайленко









 

Роман Крикоця

 


 
 

 


 

 

Вітаємо наших випускників із успішним захистом кваліфікаційних магістерських робіт. Відзначено, що теми представлених дипломних проектів актуальні та досить різноманітні, всі вони мають дослідницький характер і базуються на реальних експериментальних даних. Висновки і рекомендації, що містяться в магістерських роботах, мають як теоретичне, так і практичне значення.

Бажаємо подальших успіхів!


Бережіть себе і родину!


Навчаємося, бо ми цього варті!

Підписуйтесь на блог!
Підписуйтесь на канал YouTube.
Підписуйтесь на сторінку у fb. https://www.facebook.com/educationXXII/
Підписуйтесь на сторінку у fb. https://www.facebook.com/educationXXII/
Запрошуємо навчатися на фізичному факультеті! 

 

Приєднуйтесь на сервер "Фізичний факультет ХНУ" на Discord

https://discord.com/invite/ZUxcC22